Next  |  Prev  |  Up  |  Top  |  Index  |  JOS Index  |  JOS Pubs  |  JOS Home  |  Search


Digital Waveguide Model

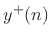
Figure C.3: Digital simulation of the ideal, lossless waveguide with observation points at $ x=0$ and $ x=3X=3cT$ . (The symbol ``$ z^{-1}$ '' denotes a one-sample delay.)
\includegraphics[scale=0.9]{eps/fideal}

In this section, we interpret the sampled d'Alembert traveling-wave solution of the ideal wave equation as a digital filtering framework. This is an example of what are generally known as digital waveguide models [434,435,437,441,445].

The term $ y_r\left[(n-m)T\right]\isdef y^{+}(n-m)$ in Eq.(C.16) can be thought of as the output of an $ m$ -sample delay line whose input is $ y^{+}(n)$ . In general, subtracting a positive number $ m$ from a time argument $ n$ corresponds to delaying the waveform by $ m$ samples. Since $ y^{+}$ is the right-going component, we draw its delay line with input $ y^{+}(n)$ on the left and its output $ y^{+}(n-m)$ on the right. This can be seen as the upper ``rail'' in Fig.C.3

Similarly, the term $ y_l\left[(n+m)T\right]\isdeftext y^{-}(n+m)$ can be thought of as the input to an $ m$ -sample delay line whose output is $ y^{-}(n)$ . Adding $ m$ to the time argument $ n$ produces an $ m$ -sample waveform advance. Since $ y^{-}$ is the left-going component, it makes sense to draw the delay line with its input $ y^{-}(n+m)$ on the right and its output $ y^{-}(n)$ on the left. This can be seen as the lower ``rail'' in Fig.C.3.

Note that the position along the string, $ x_m = mX= m cT$ meters, is laid out from left to right in the diagram, giving a physical interpretation to the horizontal direction in the diagram. Finally, the left- and right-going traveling waves must be summed to produce a physical output according to the formula

$\displaystyle y(t_n,x_m) = y^{+}(n-m) + y^{-}(n+m). \protect$ (C.17)

We may compute the physical string displacement at any spatial sampling point $ x_m$ by simply adding the upper and lower rails together at position $ m$ along the delay-line pair. In Fig.C.3, ``transverse displacement outputs'' have been arbitrarily placed at $ x=0$ and $ x=3X$ . The diagram is similar to that of well known ladder and lattice digital filter structures (§C.9.4,[299]), except for the delays along the upper rail, the absence of scattering junctions, and the direct physical interpretation. (A scattering junction implements partial reflection and partial transmission in the waveguide.) We could proceed to ladder and lattice filters by (1) introducing a perfectly reflecting (rigid or free) termination at the far right, and (2) commuting the delays rightward from the upper rail down to the lower rail [436,438]. The absence of scattering junctions is due to the fact that the string has a uniform wave impedance. In acoustic tube simulations, such as for voice [87,299] or wind instruments [196], lossless scattering junctions are used at changes in cross-sectional tube area and lossy scattering junctions are used to implement tone holes. In waveguide bowed-string synthesis (discussed in a later section), the bow itself creates an active, time-varying, and nonlinear scattering junction on the string at the bowing point.

Any ideal, one-dimensional waveguide can be simulated in this way. It is important to note that the simulation is exact at the sampling instants, to within the numerical precision of the samples themselves. To avoid aliasing associated with sampling, we require all waveshapes traveling along the string to be initially bandlimited to less than half the sampling frequency. In other words, the highest frequencies present in the signals $ y_r(t)$ and $ y_l(t)$ may not exceed half the temporal sampling frequency $ f_s
\isdeftext 1/T$ ; equivalently, the highest spatial frequencies in the shapes $ y_r(x/c)$ and $ y_l(x/c)$ may not exceed half the spatial sampling frequency $ \nu_s \isdeftext 1/X$ .

A C program implementing a plucked/struck string model in the form of Fig.C.3 is available at http://ccrma.stanford.edu/~jos/pmudw/.


Next  |  Prev  |  Up  |  Top  |  Index  |  JOS Index  |  JOS Pubs  |  JOS Home  |  Search

[How to cite this work]  [Order a printed hardcopy]  [Comment on this page via email]

``Physical Audio Signal Processing'', by Julius O. Smith III, W3K Publishing, 2010, ISBN 978-0-9745607-2-4
Copyright © 2024-06-28 by Julius O. Smith III
Center for Computer Research in Music and Acoustics (CCRMA),   Stanford University
CCRMA