Next  |  Prev  |  Up  |  Top  |  Index  |  JOS Index  |  JOS Pubs  |  JOS Home  |  Search

Loss Consolidation

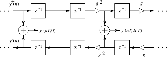
In many applications, it is possible to realize vast computational savings in digital waveguide models by commuting losses out of unobserved and undriven sections of the medium and consolidating them at a minimum number of points. Because the digital simulation is linear and time invariant (given constant medium parameters $ K,\epsilon ,\mu$ ), and because linear, time-invariant elements commute, the diagram in Fig.C.6 is exactly equivalent (to within numerical precision) to the previous diagram in Fig.C.5.

Figure C.6: Discrete simulation of the ideal, lossy waveguide. Each per-sample loss factor $ g$ may be ``pushed through'' delay elements and combined with other loss factors until an input or output is encountered which inhibits further migration. If further consolidation is possible on the other side of a branching node, a loss factor can be pushed through the node by pushing a copy into each departing branch. If there are other inputs to the node, the inverse of the loss factor must appear on each of them. Similar remarks apply to pushing backwards through a node.
\includegraphics[scale=0.9]{eps/flloss}


Next  |  Prev  |  Up  |  Top  |  Index  |  JOS Index  |  JOS Pubs  |  JOS Home  |  Search

[How to cite this work]  [Order a printed hardcopy]  [Comment on this page via email]

``Physical Audio Signal Processing'', by Julius O. Smith III, W3K Publishing, 2010, ISBN 978-0-9745607-2-4
Copyright © 2024-06-28 by Julius O. Smith III
Center for Computer Research in Music and Acoustics (CCRMA),   Stanford University
CCRMA